Plasma Analyse

   
Messsysteme
 Messbeispiele
 Plasmadaten
 Referenzen
   

 

Unter Plasma versteht man ein gasförmiges Gemisch aus elektrisch geladenen Teilchen wie Ionen und Elektronen, Radikalen und unterschiedlich angeregten, elektrisch neutralen Atomen und Molekülen. Die freien Ladungsträger im Plasma - Elektronen und Ionen - bestimmen ganz wesentlich die Eigenschaften des Mediums Plasma. Die wesentlichsten Kenngrößen eines Plasmas sind:

  • Neutralteilchendichte nn

  • Ladungsträgerdichte ni (Ionen) bzw. ne (Elektronen)

  • Identität der Neutralteilchen und Ionen

  • Energieverteilung der Neutralteilchen, Ionen und Elektronen

Aufgabe der Plasmadiagnostik ist die Messung dieser Größen. Entsprechend der Vielfalt der Erscheinungsformen, bei denen sich die Plasmaparameter um viele Größenordnungen unterscheiden können, gibt es auch eine Vielzahl an experimentellen Methoden, die prinzipiell zur Verfügung stehen. Tabelle 1 zeigt einen Überblick über die verschiedenen Plasmatypen und den Einsatzbereich einiger experimenteller Methoden zur Charakterisierung der Plasmen [John A. Thornton, J.Vac.Sci.Technol. Vol.15, No.2, 1978, p.188.].

Diagnostikverfahren

Aktive Methoden

Passive Methoden

Sonden

Einfache Langmuirsonde

 

 

 

Doppelsonde

Magnetische Sonden

Mikrowellendiagnostik

 

 

 

Interferometer

Bremsstrahlung

Hohlraumresonatoren

Schwarzkörperstrahlung

Faraday-Drehung

 

 

Streuung

Optische Diagnostik

 

 

Interferometer

Linienstrahlung

Streuung

Schwarzkörperstrahlung

Resonanzflureszenz

Kalorimetrie

Teilchenstrahldiagnostik

 

 

Ladungstauschanalysatoren

Massenspektroskopie

 

 

Teilchensammler

Flugzeitspektroskopie

Die Plasmen, die in der Dünnschichttechnologie für verschiedene Zwecke (Ionenquellen, Magnetrons, Plasma-Ätzen, usw.) Verwendung finden, gehören vor allem zu den Niederdruckgasentladungen und sind nach Abb.1 gekennzeichnet durch Ladungsträgerdichten im Bereich: 108 < ne,i <1013 cm-3 und mittlere Energien im Bereich: 0,3eV < E <100 eV.
Zur Identifizierung der Neutralteilchen und Ionen bietet sich einerseits das Massenspektrometer an mit dem Vorteil einer einfachen Auswertung der Spektren, andererseits optische Spektroskopie (z.B. OES) bei einer mittleren Auflösung und dem Vorteil, dass das Plasma nicht gestört wird. Für die Messung der Energieverteilung der Neutralteilchen und Ionen kommt mit überschaubarem Aufwand nur eine Energieanalyse am Rand des Plasmas (z.B. an der Kathode oder in der Substratebene) mittels einer Kombination aus Massenspektrometer und elektrostatischem Spektrometer in Frage. Zur Bestimmung der Ladungs­trägerdichten,  Ionenstromdichten, Plasmapotentiale und der Energieverteilung der Elektronen werden vor allem elektrische Sonden wie Langmuir-Sonden und Faraday-Auffänger eingesetzt. 

Übersicht über Plasmatypen und Diagnostikmethoden [John A. Thornton, J.Vac.Sci.Technol. Vol.15, No.2, 1978, p.188.]

 

Neben den oben angegebenen Plasmakenngrössen spielen in der täglichen Praxis vor allem abgeleitete Größen für die Charakterisierung von Plasmen eine große Rolle. Mit den nachfolgend angegebenen Faustformeln für die mittlere freie Weglänge l, der Debye Länge  lD und dem Ionisierungsgrad a, kann die Größenordnung dieser sekundären Größen abgeschätzt werden [3, 4, 5].

 

Mittlere freie Weglänge l : Statistisch die Strecke, die ein Teilchen im Mittel zwischen zwei Stößen zurücklegt.

Debye Länge lD: In einem Plasma existiert zwischen Elektronen und Ionen eine starke Kopplung. Nur in räumlichen Gebieten mit einer Ausdehnung s > lD kann ein Plasma existieren (es herrscht Quasi-Neutralität), in Gebieten mit einer Ausdehnung s < lD braucht kein Ladungsträgergleichgewicht zu herrschen.

Ionisierungsgrad a: Verhältnis zwischen Ionen und Neutralteilchenanzahl


Messtechnik für die Plasma- und Prozessanalyse (PhysTech):

Plasmamonitoring System: PPM421 (Inficon):
Massenspektrometer mit Energieanalyse

OES - Optical Emission Spektroscopy

Langmuirprobe System (Scientific Instruments): Langmuir-Sonde

Faraday Cup System MIEDA (PhysTech)  

Elektrische Sonden - Langmuir Sonden:
Unter einer elektrischen Sonde (Langmuir-Sonde) versteht man eine Anordnung mit einer oder zwei metallischen Elektroden, die in das zu untersuchende Plasma eingeführt werden. Die Messtechnik besteht aus der Aufnahme und Auswertung der U/I Charakteristik des Plasmas [2]. Unten stehende Abblidung zeigt schematisiert einen typischen Verlauf der U/I Charakteristik einer Einzelsonde, wobei sich phänomenologisch drei Bereiche definieren lassen. Der Ionensättigungsbereich A, bei dem das Sondenpotential so stark negativ ist, dass alle Elektronen in der Umgebung der Sonde abgestossen werden. Der Gemessene Strom ist ein reiner Ionenstrom, aus ihm lässt sich die lokale Ladungsträgerdichte bestimmen. Der Übergangsbereich B, indem es den energiereichsten Elektronen gelingt die Potentialbarriere der Sonde zu überwinden. Im Punkt F1 ist der Elektronenstrom gleich dem Ionenstrom und der zugehörige Potentialwert wird mit „floating potential“ bezeichnet. Aus der Form der ansteigenden Flanke lässt sich die Elektronen­energieverteilung ableiten. Im Elektronensättigungsbereich C ist das Sondenpotential positiv gegenüber dem Plasmapotential, dementsprechend können alle Elektronen aus der Umgebung die Sonde erreichen. Das Plasmapotential kann durch die Extrapolation der Kurvenverläufe im Übergangsbereich und im Elektronen­sättigungsbereich bestimmt werden. So einfach und leicht handhabbar die experimentelle Anordnung ist, so kompliziert ist die hinter der Auswertung der Charakteristik stehende Physik. Eine generelle Theorie, die auf jede Konstellation anwendbar wäre und die die gesuchten Zusammenhänge zwischen der U/I Charakteristik und den Plasmaparametern liefert, gibt es nicht. Statt dessen gibt es verschiedene Lösungsansätze für die verschiedenen Parameterbereiche.  


Prinzipieller Aufbau von Langmuir-Sonden


Strom-Spannungskennlinie einer Langmuir-Sonde

Faraday Cup:
Als eine Sonderform der Sondendiagnostik könnte man die Ionenstrommessung mittels eines sogenannten Faraday-Auffängers oder Faraday-Cups bezeichnen. Sie verwendet man zur experimentellen Bestimmung des Gesamtionenstromes Ii bzw. der Ionenstromdichte ji und der auftretenden Teilchenenergien Ei. Einfache Faraday-Cups werden häufig in medizintechnischen Anlagen, die mit ionisierender Strahlung zu tun haben, verwendet. In der Plasmadiagnostik finden sie nur stark begrenzte Anwendung. Für die Beschichtungstechnik verwendet man zum Teil etwas aufwendigere Faraday-Cups, mit denen man energieselektiv messen kann und damit Aufschluss über die Energieverteilung der Ionen erhält. Trifft auf der elektrisch leitenden Platte (Messelektrode) ein positives Ion auf, so wird ein Elektron von Masse zur Messelektrode gezogen, um mit dem Ion zu rekombinieren und die Spannung zwischen Messelektrode und Masse abzubauen. Mit einem Amperemeter zwischen Masse und Messelektrode kann der Ionenstrom über den äquivalenten Elektronenstrom gemessen werden. Mit der in der Einfallsrichtung der Ionen definierten Fläche der Platte resultiert daraus die Ionenstromdichte.  


Prinzipieller Aufbau eines Faraday Cups

Massenspektrometrie und elektrostatische Spektrometrie:
Massenspektroskopie mittels Quadrupol-Massenspektrometer ist eine ausge­zeichnete Methode, Neutralteilchen, positive und negative Ionen aus Plasmen direkt nachzuweisen. Damit ist die Möglichkeit der Analytik während eines gesamten Prozessablaufes gegeben, wie z.B.:

  • Evakuieren des Rezipienten – Analyse des Restgases, Lecksuche

  • Einlass des Arbeitsgases – Analyse der Gaszusammensetzung, Regelung der Gaszusammensetzung

  • Zünden des Plasmas – Analyse von Neutralteilchen, positiven und negativen Ionen aus dem Plasma während des Prozessablaufes

  • Korrelation der gemessenen Plasmadaten mit den makroskopischen Schichteigenschaften

  • Untersuchung von Langzeiteffekten bzw. Alterserscheinungen der Plasmaeinrichtung

Das Messverfahren zwingt allerdings zur Vorsicht bei der Interpretation der Messdaten. Die Messanordnung sieht nicht das eigentliche Plasma, sondern die durch sie selbst gestörte Umgebung. Die nachzuweisenden Teilchen müssen über eine Lochblende (Extraktionsblende) extrahiert werden. Diese stellt für das Plasma eine Elektrode dar, vor der sich eine Grenzschicht aufbaut, deren Eigenschaften völlig von den Plasmaeigenschaften abweichen können. Damit steht man vor einem ähnlichen Problem wie beim Einsatz elektrischer Sonden. In beiden Fällen muss darauf geachtet werden, dass die Störungen des Plasmas möglichst klein gehalten werden. Bei der Prozessanalyse in der Dünnschichttechnologie kann dieses Problem etwas umgangen werden, wenn am Rand des Plasmas - in der Substratebene - gemessen wird und so eine Analyse an der Stelle stattfindet, an der sich auch die Substrate, auf die die dünnen Schichten aufgebracht werden sollen, befinden.

Massenspektrometer werden des weiteren im industriellen Einsatz neben den klassischen Anwendungen, wie Restgasanalyse und Lecksuche, auch als Prozessmonitor eingesetzt, um Produktionsanlagen zu qualifizieren und Fehlerquellen schon während der Prozessabläufe aufzudecken. Moderne Prozessmonitore zeichnen sich durch einen hohen Automatisierungsgrad und eine ausgereifte Alarmgenerierung aus, die ein aktives Eingreifen in den Produktionsablauf erlaubt. Eine integrierte statistische Auswertung, eine Vernetzung zu Produktions- und Anlagencomputern bei sehr einfacher Bedienung über Messrezepte sind weitere Voraussetzungen, die den erfolgreichen Einsatz von Prozessmonitoren zur Erhöhung der Produktionsausbeute ermöglicht [4].  


Gerätetechnischer Aufbau einer Plasmaanalyse mittels Plasmamonitor am Beispiel eines Arc_source Prozesses

Um zusätzlich zur Massenspektroskopie auch eine Analyse der Energieverteilung der unterschiedlichen Spezies im Plasma durchführen zu können, wird vor dem Quadrupolfilter ein elektrostatisches Energiefilter eingeschaltet. Dabei werden Ionen und Neutralteilchen (Moleküle, Radikale) bezüglich ihrer Energieverteilung analysiert, die mittels einer Einlassblende z.B. aus einem Sputterplasma entnommen werden. Die Analyse beschränkt sich somit nicht auf die Masse der Teilchen, sondern erfasst auch deren Energie. Als Energieanalysator wird sehr oft ein Zylinderspiegelanalysator (CMR - Cylindrical Mirror Analyzer) verwendet.
Die Energieverteilung der Ionen stellen z.B. die Grundlage für die Korrelation zwischen den gemessenen Plasmadaten (Ionenarten, Energieverteilung) und den erzielten makroskopischen Schichteigenschaften (Schichtbrechwert, intrinsische Spannungen, Dichte, opt. Verluste) dar [5, 6].
Im Vordergrund des Anwendungsbereiches der Massenspektrometrie steht die Analyse von  Plasmaprozessen in der Dünnschichttechnologie zur Abscheidung, zum Abtragen und zum Modifizieren von Schichten bzw. Oberflächen.

Optische Spektrometrie:
Bei der optischen Emissionsspektroskopie (OES) wird die Tatsache, dass Plasmen leuchten ausgenutzt, um anhand der gemessenen Spektrallinien die im Plasma vorhandenen Neutralteilchen und Ionen zu identifizieren. Das vom zu untersuchenden Plasma emittierte Licht wird via Lichtleiter einem optischen Gittermonochromator zugeführt. Durch Beugung am Gitter wird das Licht spektral zerlegt, so dass am Austrittsspalt nur Licht einer Wellenlänge erscheint. Dieses fällt auf einen Photomultiplier, der einem der Lichtintensität proportionalen Strom liefert. Durch mechanisches Drehen des Gitters mit einem Motorantrieb kann das Emissionsspektrum des  Plasmas aufgenommen werden. Für die Identifizierung der Licht emittierenden Teilchen im Plasma genügt eine Monochromator-Auflösung von 0,1nm bis 1nm. Signifikante Spektrallinien liegen allerdings nicht nur im sichtbaren Bereich, sondern gerade für viele in Sputter- und Ätzplasmen interessierenden Spezies im Ultravioletten. Der Spektralbereich der Nachweisanordnung (Lichtleiter, Gitter, Photomultiplier) sollte deshalb zumindest den Bereich 200nm bis 800nm umfassen.  

Prinzip der optischen Emissionsspektroskopie (OES)

Die von den Teilchen im Plasma emittierte Strahlung im sichtbaren und ultravioletten Bereich stammt von Übergängen aus elektronisch angeregten Zuständen in tiefer liegende Zustände. Besonders intensiv ist im allgemeinen der Übergang vom 1. angeregten Zustand in den Grundzustand. Jedes Atom, Molekül, Ion, usw. hat genau definierte, das Teilchen charakterisierende Energieniveaus E. Dementsprechend sendet es beim Übergang von E1 – E0 eine charakteristische Linie mit der Frequenz n10=( E1– E0)/h aus, anhand dessen es identifiziert werden kann.
Während die Interpretation der Hauptlinien im allgemeinen einfach ist, ist eine Interpretation der Linien mit geringerer Intensität oder umgekehrt das Identifizieren von Plasmateilchen geringer Dichte angesichts der Fülle von Linien sehr schwierig. Völlig ausgeschlossen ist auf diese Weise, eine unbekannte Spezies zu finden, bzw. komplexe Moleküle zu detektieren, deren Emissionslinien in den einschlägigen Tabellenwerken nicht aufgeführt sind.

Mikrowellen-Messverfahren :
Die aktive Diagnostik von Plasmen mit Hilfe elektromagnetischer Wellen beruht darauf, dass eingestrahlte Wellen in charakteristischer Weise von Plasmen beeinflusst werden. Zu den einfachen Wechselwirkungen gehört z.B. der Übergang von vollkommener Wellendurchlässigkeit zu totaler Wellenreflexion an einer Plasmaoberfläche oder die Dämpfung von Wellen beim Durchgang durch ein Plasma. Daneben gibt es auch verborgene Wechselwirkungen, wie z.B. die Veränderung der Ausbreitungsgeschwindigkeit einer Welle im Plasma durch die Dielektrizitätszahl des Plasmas, die Verdrängung von Feldern durch ein Plasma oder die Streuung von Wellen an Plasmen.

Im Prinzip zeigen elektromagnetische Wellen aller Frequenzen diese Wechselwirkungen mit Plasmen, doch ist sie für viele Plasmen gerade im Bereich der Mikrowellen besonders stark und daher gut messbar.
Die einfachsten Mikrowellendiagnostikverfahren sind Transmissions- und Reflexionsmessungen an Plasmen. Über ein Hohlleitersystem und eine Hornantenne werden Mikrowellen in das Plasma gestrahlt und hinter dem Plasma wieder aufgefangen, in einem Detektor gleichgerichtet und anschließend zur Anzeige gebracht [7].

Zusammenfassend lässt sich der Schluss ziehen, dass es kein ideales Diagnostikverfahren gibt. Langmuir-Sonden, Faraday-Cups, Massenspektrometrie und elektrostatische Energieanalyse, sowie OES machen sich nicht Konkurrenz, sondern ergänzen einander. Je nach Problem und zu untersuchenden Plasmatyp ist das eine oder andere Verfahren vorzuziehen bzw. ausschließlich möglich. Die Massenspektrometrie im speziellen kann als universelle Methode in prozesstechnischem Neuland bzw. zur Prozessanalyse in Betracht kommen oder bei neuen Fragestellungen in alten Prozessen.

 


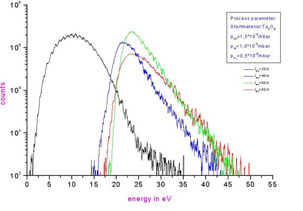
Messbeispiele:

 

 

Massenspektrogramm am Beispiel eines Ta2O5 Ion-Plating Prozesses

Energiespektrum der Ar+ Ionen am Beispiel eines Ta2O5 Ion-Plating Prozesses


 

 Plasmadaten:

 
process
technology
main process
parameters
influence on
plasma properties
typical power
density on target
typical
energy
deposition
rate
typical ion
current density
RLVIP arc current

kinetic ion energy
ion current density

>104 Wcm-2 15-60eV high 0,2-1mAcm-2
RAPSIP bias voltage kinetic ion energy
ion current density
>104 Wcm-2 50-150eV high 0,2-0,8mAcm-2
DC-MS power density ion current density 5-20 Wcm-2 1-15eV medium 0,1mAcm-2
DC-PMS power density
frequency
duty cycle
kinetic ion energy
ion current density
degree of ionisation
>20 Wcm-2 1-150eV medium to high 0,2-1mAcm-2
PLAD power density
laser frequency
repetition time
kinetic ion energy
ion current density
107 -1010 Wcm-2 10-100eV low to medium > 1mAcm-2
ASD arc current kinetic ion energy
ion current density
degree of ionisation
107 -1010 Wcm-2 20-200eV very high > 1mAcm-2

 RLVIP … Reactive Low Voltage Ion Plating, RAPSIP … Reactive Advanced Plasma Source Ion Plating, DC-MS … DC continuous Magnetron Sputtering, DC-PMS … DC Pulsed Magnetron Sputtering, PLAD … Pulsed Laser Ablation Deposition, ASD … Arc Source Deposition

 


Literatur und Referenzen: 

[1] I. H. Hutchinson, Principles of plasma diagnostics, Cambridge University Press, 1987

[2] J.A. Thornton, J.Vac.Sci.Technol. Vol.15, No.2, 1978, p.188

[3] R.M. Clements, J.Vac.Sci.Technol. Vol.15, No.2, 1978, p.193

[4] K. Höfler, Plasmadiagnostik bei plasmaunterstützten Dünnschichttechniken, Balzers Firmenschrift

[5] G.N. Strauss, Galvanotechnik 9/2000, 2586 (2000)

[6] G.N. Strauss, et.al., Plasmaanalyse mit dem MIEDA System, Galvanotechnik 5, 1254-1256 (2004

[7] C. Lohe, Vakuum in Forschung und Praxis, No.1, 1998, p.57-66

[8] G.N. Strauss, Vakuum in Forschung und Praxis, Vol.12, No.1, 2000, p.25-28

[9] G.N. Strauss, W. Lechner, H.K. Pulker, Thin Solid Films, 351, 1999, p.53-56

[10] G. Janzen, Plasmatechnik, Hüthig Verlag, 1992, p.276

[11] H.K. Pulker : Coatings on Glas, sec. Rev. Edition, Elsevier  (1999) 

[12] R.F. Bunshah  (ed): Handbook of deposition technologies for films and coatings, sec. Edition, Noyes Publications (1994)

[13] S. Schlichtherle, Ionenplatieren, Herstellung Dünner Schichten, OTTI Technik Kolleg (2004)

[14] H. Tafelmaier, Low Voltage Ion Plating, Herstellung Dünner Schichten, OTTI Technik Kolleg (2003)

[15] A. Schütze, Materialbearbeitung durch Laser und elektrische Bogenentladung, Herstellung Dünner Schichten, OTTI Technik Kolleg (2003)

[16] R. Boxman, P. Martin, D. Sanders; Handbook of Vacuum Arc Science and Technology, Noyes Publications, 1995

[17] H. Hagedorn, Plasma Ionen unterstütztes Aufdampfen, Herstellung Dünner Schichten, OTTI Technik Kolleg (2003)


  top of page

 (c) 2007 - PhysTech Coating Technology GmbH